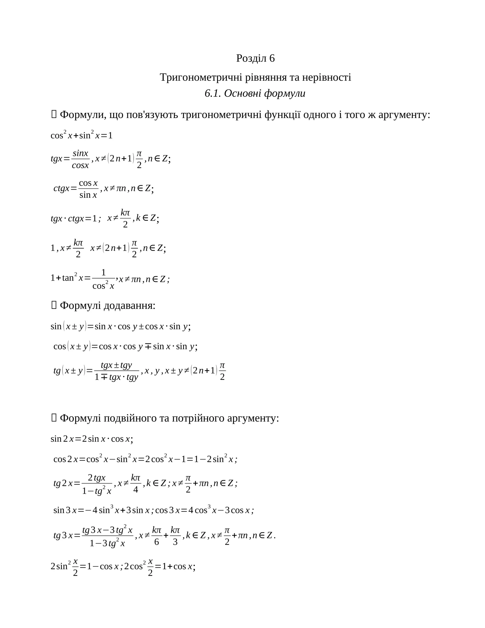
Triganometrik funksiyalar formulalari
O'quv qo'llanmalar | matematika 14
Mualliflik huquqi buzilgan holatdashikoyat qiling!
10 000 so'm
- Betlar soni:42 ta
- Fayl hajmi :293.62 KB
- Fayl turi:.docx
Mahsulot tavsifi
Hozircha muallif ushbu mahsuloti uchun tavsif qo‘shmagan.
Obidjon Musurmonov
200 ta
32 ta
Yuklanmoqda...

0 ta izoh