Barchasi
TaqdimotlarKurs ishlariMustaqil ishlarDiplom ishlariBlankalarBiznes rejalarElektron kitoblarStatistikaMaqolaPlakatlarLoyihalarIjodiy IshlarAmaliy ishlarDasturlash tillariNamunaviy hujjatlarO'quv qo'llanmalarTarqatma materiallarDars ishlanmalarTestlarReferatlarIxtiro patentiDissertatsiya ishlariLabaratoriya Ishlari
.docx

1996 2007
30 000 so’m
.pdf

Majburiy fanlar(matematika)
1 999 so’m
.docx

Funksiyalar to’plamini turlicha klassifikatsiyalash va ular orasidagi munosabatlarni o’rganish.
20 000 so’m
.docx

diofant tenglamalarini klassik usulda yechish
8 000 so’m
.docx

SAT SAVOLLARI O’rta daraja
1 499 so’m
.docx

SAT savollari boshlang’ich
1 000 so’m
.docx

Amallar
1 000 so’m
.pdf

4-5-6-7-sinf MATEMATIKA oson va qiziqarli darslik
14 999 so’m
.pptx

Чизиқсиз регрессия
3 500 so’m
.pptx

Narx strategiyasi, moliyaviy tahlil va birlik iqtisodiyoti (CAC + LTV)
5 000 so’m
.pptx

Nyuton binomi va PAskal uchburchagi
10 000 so’m
.doc

Trigonometrik tenglamalar
4 999 so’m
.doc

5-6-7-8-sinf MATEMATIKA TESTLAR to’plami
9 999 so’m
.docx

Musbat va manfiy sonlarni ko`paytirish
5 000 so’m
.pptx

integral qaraqalpaqsha
40 000 so’m
.pdf

Tekislikdagi Dekart koordinatalar sistemasi tushunchasi
50 000 so’m
.pdf

Determinant tushunchasi
10 000 so’m
.pptx

Narxlangan grafda arzon mashrutni aniqlash
5 000 so’m
.docx

Narxlangan grafda arzon mashrutni aniqlash
5 000 so’m
.doc

Ratsional sonlar to`plаmi
10 000 so’m
.pdf

Diffuziya tenglamasini keltirib chiqarish
15 000 so’m
.pdf

issiqlik tarqalish operatorining fundamental yechimi
15 000 so’m
.pdf

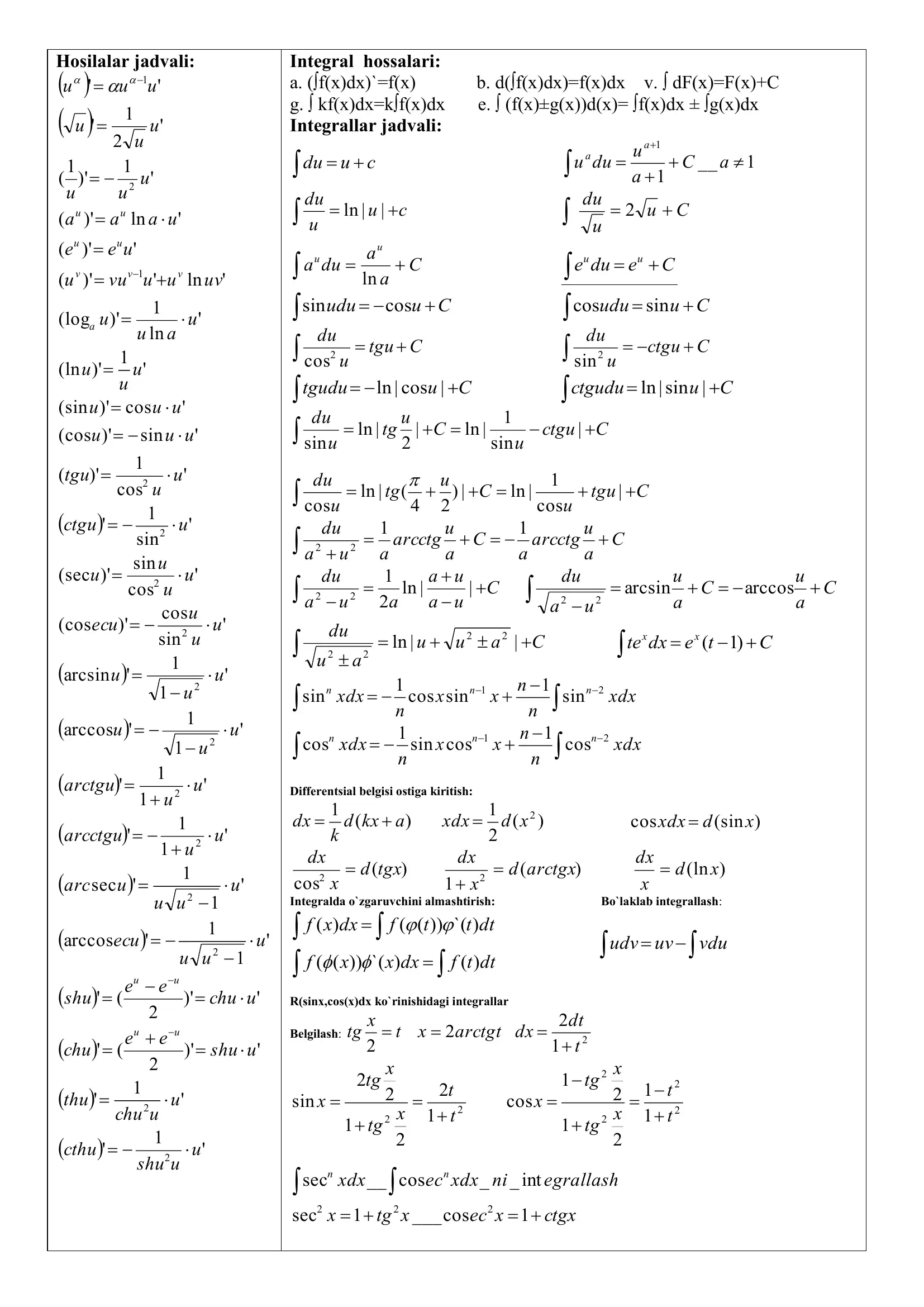
Integral hossalari
12 000 so’m
.pptx

differentsial tenglamalarni o‘zgarmasni variatsiyalash usulida yechish. Ostrogradskiy-Liuvill formulasi
20 000 so’m
.pptx

Halqa radikali. Primar ideallar
10 000 so’m
.docx

sanoq sistemalari mustaqil ish
5 000 so’m
.docx

Chiziqli bir jinsli bo`lmagan tenglamalar
5 000 so’m
.docx

matematik analiz
5 000 so’m
.docx

Ilmiy Ish Shabloni – Algebra
50 000 so’m
.docx

Uch o'lchovli fazoda jismlarning yuza va hajmlarini hisoblashda integral hisob tatbiqlari
7 000 so’m
.docx

ANIQ INTEGRALLARNI TAQRIBIY HISOBLASH USULLARI
8 000 so’m
.docx

Jadval koʻrinishda berilgan funksiyalarni Lagranj, Nyuton interpoyatsion kophadlari hamda splayn funksiyalar bilan interpolyatsiyalash
4 000 so’m
.docx

Матрицы
8 900 so’m
.pptx

Geometrik akslantirishlar va ularni algebraik metodlar bilan yechish
6 000 so’m
.docx

Matritsa
2 000 so’m
.docx

test matematika
5 000 so’m
.docx

Funksiya tushunchasi va uning xossalari
4 500 so’m
.docx

Darslarda o’quvchilarga bo’lgan sanoq va tartib sonlar haqida tushunchlarni aniqlash
5 696 so’m
.pptx

Fazoda to’g’ri chiziq tenglamalari
6 523 so’m
.docx

Hodisalar Nazariyasi
10 000 so’m
.docx

Hosilaning Tadbiqlari
12 000 so’m
.docx

Limit tushunchasi
12 000 so’m
.docx

Kesmada Uzluksiz Funksiyalarning Xossalari
12 000 so’m
.docx

Matritsa tushunchasi va rangi hisoblash
10 000 so’m
.docx

Ikki O'zgaruvchili Tengsizliklar
12 000 so’m
.docx

ALGEBRA FANINING VUJUDGA KELISHI VA RIVOJLANISHI
10 000 so’m
.docx

Bulutli Joylashtirish Modellari
5 000 so’m
.pptx

Aylanma jismlar shar va ularni tekislikda isbotlash
12 000 so’m
.pptx

Aniq integral
10 000 so’m
.pptx

2,5, 10 ga boʻlinish belgilari
5 000 so’m
Tayyor mahsulotlardan foydalanish qanday ishlaydi?

Qidiring va tanlang
Katalogdan yoki qidiruv orqali sizga kerakli tayyor mahsulotni toping.

Sotib oling
Xavfsiz to‘lov tizimi orqali mahsulotni sotib oling — narx va shartlar oldindan ko‘rinadi.

Yuklab oling va foydalaning
Mahsulotni darhol yuklab oling va ishlatishni boshlang.