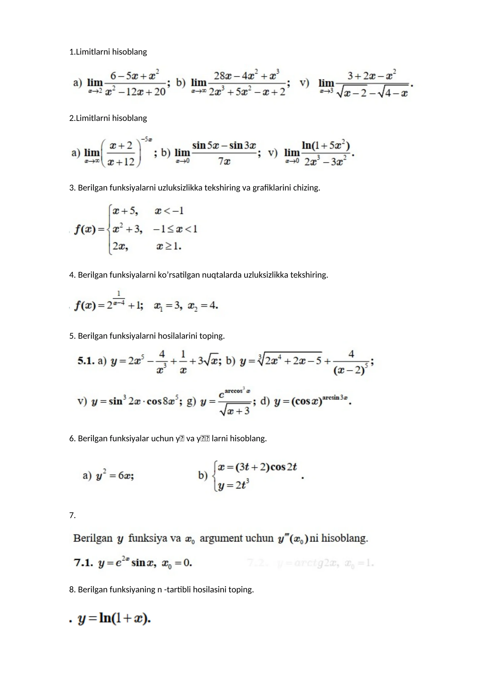
Berilgan funksiyalarni hoilalarini toping
Kurs ishlari | matematika 12
Mualliflik huquqi buzilgan holatdashikoyat qiling!
9 996 so'm
- Betlar soni:2 ta
- Fayl hajmi :224.52 KB
- Fayl turi:.docx
Mahsulot tavsifi
Hozircha muallif ushbu mahsuloti uchun tavsif qo‘shmagan.
Shakhzod Abduhamidov
1061 ta
90 ta
Yuklanmoqda...

0 ta izoh