2026 Obektifka,Maʼlumotnoma standart toʻldirish qoidalari
Amaliy ishlar | Iqtisodiyot 49
Mualliflik huquqi buzilgan holatdashikoyat qiling!
2 000 so'm
- Betlar soni:3 ta
- Fayl hajmi :67.17 KB
- Fayl turi:.docx
Mahsulot tavsifi
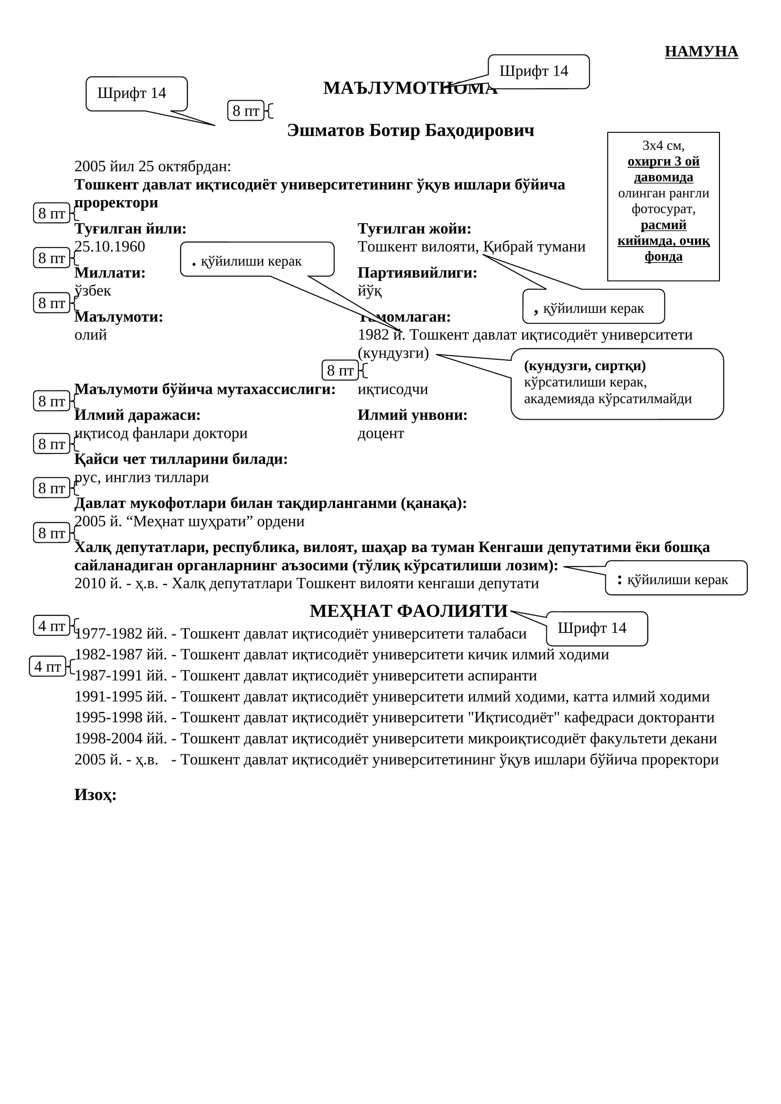
Obektifka toʻgʻri toʻldirish qoidalari toʻliq tushuntirilgan. Har bir joyi.
Ex pert247 ™
2186 ta
1259 ta
Yuklanmoqda...

0 ta izoh