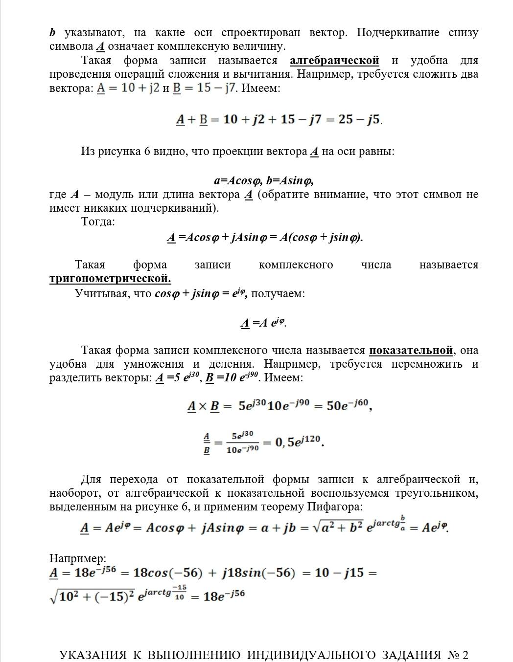
ИНДИВИДУАЛЬНОЕ ЗАДАНИЕ № 2 Варианты домашних заданий приведены в Приложении. 1. По заданным значениям напряжения, частоты и параметров элементов найдите символическим методом токи во всех ветвях и напряжения на всех элементах цепи. 2. Составьте баланс комплексных мощностей. 3. Постройте в масштабе векторные диаграммы токов и напряжений.
Amaliy ishlar | Informatika va AT 36
Mualliflik huquqi buzilgan holatdashikoyat qiling!
10 000 so'm
- Betlar soni:9 ta
- Fayl hajmi :5.31 MB
- Fayl turi:.doc
Mahsulot tavsifi
ИНДИВИДУАЛЬНОЕ ЗАДАНИЕ № 2 Вариант 43
Варианты домашних заданий приведены в Приложении.
1. По заданным значениям напряжения, частоты и параметров элементов найдите символическим методом токи во всех ветвях и напряжения на всех элементах цепи.
2. Составьте баланс комплексных мощностей.
3. Постройте в масштабе векторные диаграммы токов и напряжений.
seller 1
4478 ta
418 ta
Yuklanmoqda...

0 ta izoh