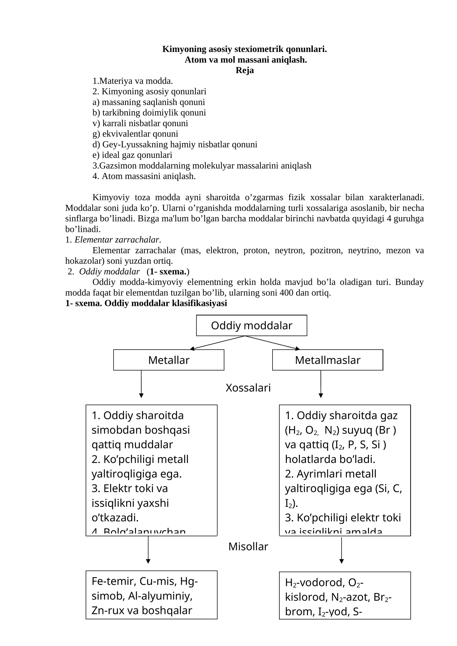
Kimyo asoslari
Amaliy ishlar | Informatika va AT 5
Mualliflik huquqi buzilgan holatdashikoyat qiling!
4 000 so'm
- Betlar soni:11 ta
- Fayl hajmi :125.93 KB
- Fayl turi:.docx
Mahsulot tavsifi
Hozircha muallif ushbu mahsuloti uchun tavsif qo‘shmagan.
Sotuvchi Sotuvchi
12488 ta
282 ta
Yuklanmoqda...

0 ta izoh