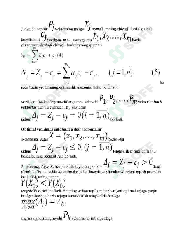
Chiziqli dasturlash masalalarini yechishda simpleks usul algoritmi va uning tahlili
Mustaqil ishlar | Algoritmlarni loyihalash 232
Mualliflik huquqi buzilgan holatdashikoyat qiling!
16 700 so'm
- Betlar soni: 10 ta
- Fayl hajmi : 280.64 KB
- Fayl turi: .docx
Mahsulot tavsifi
Mustaqil ish
Asadbek Abduvaliyev
Jami mahsulotlar soni:76 ta
Sotilgan mahsulotlar soni:57 ta
Tekshirilmoqda...


