Tub va murakkab sonlar. EKUB va EKUK. /Dars ishlanma/ misollar/test
Dars ishlanmalar | Algebra 997
Mualliflik huquqi buzilgan holatdashikoyat qiling!
2 000 so'm
- Mahsulotni sotilgan soni:2 ta
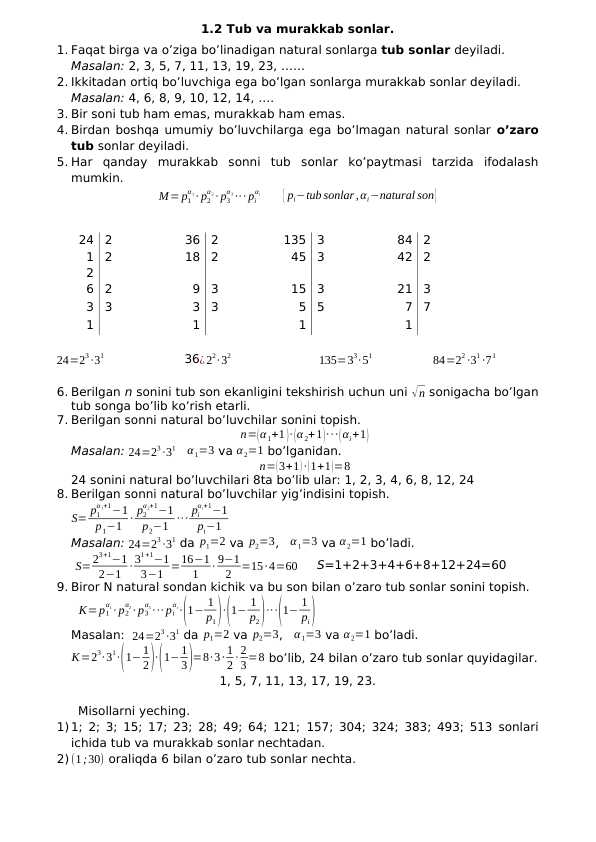
- Betlar soni:4 ta
- Fayl hajmi :34.57 KB
- Fayl turi:.docx
Mahsulot tavsifi
Tub va murakkab sonlar. EKUB va EKUK. /Dars ishlanma/ misollar/test.
- Tub va murakkab sonlar.
- EKUB va EKUK.
- Mavzu bo'yicha Test.
- Dars ishlanma.
Sotuvchi 62509
13 ta
9 ta
Yuklanmoqda...

0 ta izoh