Barcha yo'nalish
Taqdimotlar

Kurs ishlari

Mustaqil ishlar

Diplom ishlari

Blankalar
Biznes rejalar

Elektron kitoblar

.pptx

Alkadienlar.Olinishi va xossalari
10 000 so’m
.docx

O‘lchash usullari va vositalari
5 000 so’m
.docx

5-sinf matematika 4-nazorat ishi
10 000 so’m
.ppt

Агния Львовна Барто Slide
7 000 so’m
.pptx

Fotosurat va Video Tahrirlash Dunyosi
10 000 so’m
.pptx

Apparat taminot. Ichki va tashqi qurulmalar.
10 000 so’m
.pdf

SQL Tili: Ma'lumotlar Bazasi Boshqaruvining Asosi
10 000 so’m
.docx

Ikki karrali integralning tatbiqlari va ular yordamida yuza va hajmini hisoblash
4 444 so’m
.docx

Ixtiyoriy hadli qatorlar va ular yaqinlashishining Leybnits, Dirixle, Abel alomatlariga doir misollar
5 000 so’m
.docx

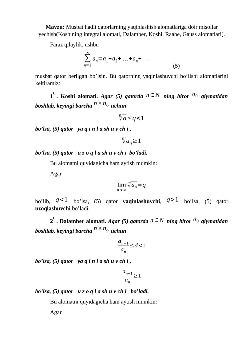
Musbat hadli qatorlarning yaqinlashish alomatlariga doir misollar yechish(Koshining integral alomati, Dalamber, Koshi, Raabe, Gauss alomatlari).
4 555 so’m
.docx

Bolalar psixologiyasi
3 500 so’m
.docx

Variant 1
4 000 so’m
.pdf

Ion bog'lanishli birikmalar
10 000 so’m
.pptx

UMURTQALAR ANATOMIYASI
12 000 so’m
.pdf

4-5-sinflar uchun matematikadan test variantlar to'plami
15 000 so’m
.pdf

Future simple
5 000 so’m
.pdf

Future continuous
5 000 so’m
.pdf

Present Perfact
5 000 so’m
.pdf

past perfect
5 000 so’m
.docx

Matematika fanidan to`garak Daftari jildi
12 000 so’m
.pdf

Kichik siniflar uchun ajoyib matematika daftari
12 000 so’m
.doc

FIZIKA O’QITISH METODIKASI MASALALARI
8 000 so’m
.docx

BOJXONAGA ISHGA KIRISH UCHUN PSIXOLOGIK TEST SAVOL VA JAVOBLARI 6 BOSQICHDA
12 000 so’m
.docx

Atom, yadro va elementar zarralar fizikasida relyativistik munosabatlarning tutgan o`rni
13 000 so’m
.pdf

Matematika master kitob
10 000 so’m
.pdf

SAT reading book
30 000 so’m
.pdf

SAT matematika kitobi
50 000 so’m
.pdf

7 - sinf Oʻzbekiston tarixi kitobining 1-7-mavzusi asosida tayyorlangan manbalar
10 000 so’m
.docx

Maktabgacha pedagogika fanining umumiy asoslari
20 000 so’m
.docx

Iqtisodiyotda axborot-kommunikatsiya texnologiyalari va tizimlari
9 000 so’m
.docx

Blokcheyn texnologiyasi
9 000 so’m
.docx

Axborot tizimlari va ularning turli sohalar
9 000 so’m
.docx

ALGORITMLASHTIRISH VA DASTURLASH ASOSLARI
9 000 so’m
.docx

Ma’lumotlar bazasi va katta hajmdagi ma’lumotlar bilan ishlash texnologiyalari
9 000 so’m
.docx

MICROSOFT EXCEL
10 000 so’m
.docx

Zamonaviy matn muharrirlari va protsessorlari
9 000 so’m
.docx

Bulutli texnologiyalar
10 000 so’m
.docx

Kompyuter tarmoqlarining tushunchasi va turlari
9 000 so’m
.docx

IQTISODIYOTDA FOYDALANILADIGAN DASTURIY TA’MINOT
10 000 so’m
.doc

Axborot Texnologiyalarining Infratuzilmasi
10 000 so’m
.docx

QADIMGI YUNONISTON VA RIM SIVILIZATSIYASI
9 000 so’m
.docx

ISLOM VA MARKAZIY OSIYO SIVILIZATSIYASI
9 000 so’m
.docx

QADIMGI MESOPOTAMIYA VA MISR SIVILIZATSIYASI
9 000 so’m
.docx

"Sivilizatsiya" tushunchasi. Uning ta’rifi va o’ziga hos sifatlari
10 000 so’m
.pptx

Boshlang‘ich funksiya va Aniqmas integra
6 100 so’m
.pdf

7-sinf Oʻzbekiston tarixi kitobining 1-7-mavzusi qoʻllanmasi
15 000 so’m
.pdf

Books in Mathematics
7 000 so’m
.pdf
