10000 ta mahsulot topildi
6-11-SINF O’ZBEKISTON TARIXI QO'LLANMA
15 000.00
145
1.48 MB

6-sinf Tabiiy fan Tirik organizmlarning oziqlanishi dars ishlanma O'qituvchilarga / 6-11 Sinf Dars ishlanmalar
5 500.00
.pptx
34
2.85 MB

11-sinf O'zbekiston tarixi dars ishlanma. Fuqarolik jamiyati g'oyasining rivojlanish tarixi O'qituvchilarga / 6-11 Sinf Dars ishlanmalar
5 500.00
.ppt
15
1.96 MB

8-sinf Informatika Elektron jadvalning elementlari O'qituvchilarga / 6-11 Sinf Dars ishlanmalar
5 500.00
.pptx
15
2.39 MB

9-sinf Adabiyot fanidan Mirzo G'olib hayoti va ijodi dars ishlanma O'qituvchilarga / 6-11 Sinf Dars ishlanmalar
5 500.00
.pptx
25
1.20 MB

Biologiyadan testlar javoblari bilan 8-9-10-11 sinf
3 000.00
.docx
9
41.9 KB

Tabiiy fan 6-sinf test 3-chorak
2 000.00
.docx
1
47.6 KB

11-sinf Jahon tarixi fanidan mavzulashtirilgan testlar/Javoblari bilan!
5 000.00
.doc
117
520.5 KB

6-sinf Tarix fanidan mavzulashtirilgan test va savollar to'plami
10 000.00
.docx
168
430.4 KB

11-sinf Jahontarixifanidarsligi asosida 6-mavzu
6 000.00
.pptx
14
2.53 MB

11-sinf nazorat ishi kimyo 2024
5 000.00
.docx
16
70.9 KB

6-sinf botanika mavzulashtirilgan testlar
5 000.00
98
1.98 MB

11-sinf huquq test 2-variantda javoblari bilan
5 000.00
.docx
7
27.6 KB

11-sinf fizika olimpiada uchun Javoblari bilan
1 000.00
.docx
3
35.4 KB

6-SINF TABIIY FANLAR NAZORAT ISHI TO'PLAMI 2025
7 000.00
.docx
18
3.01 MB

11- sinf biologiya fanidan mavzulashtirilgan test kitobcha javoblari bilan
5 000.00
.docx
102
538.1 KB

11-sinf Biologiya fanidan imtihon javoblari
9 000.00
4
16.6 KB

6-sinf adabiyot darsligi yuzasidan savollar to'plami (javoblari bilan)
19 500.00
12
156.7 KB

Biologiya fanidan mavzulashtirilgan testlar / 5-sinf
18 800.00
46
1.21 MB

Tarix 6-sinf test
2 000.00
.docx
6
28.1 KB

11-sinf - Informatika - Testlar - Javoblari bilan
2 500.00
.docx
12
71.1 KB

6-SINF TARIX FANIDAN SAVOL-JAVOBLAR.
1 800.00
.doc
28
298.5 KB

2025-2026-yil uchun 5-11- sinflar Sinf Rahbari Daftari
13 400.00
70
1.82 MB

11-SINF - UMUMIY FAN
5 000.00
.pptx
10
8.60 MB

11-SINF ONA TILI
5 000.00
.pptx
23
2.28 MB

6-sinf atlas
10 000.00
36
21.39 MB

11-sinf Nosiruddin Rabg'uziy
5 500.00
.ppt
15
6.23 MB

11-sinf O`zbekiston tarixi imtihon savollari, 2024
5 000.00
26
2.58 MB

3-chorak BSB 6-SINF TABIIY FANLAR
8 000.00
3
173.3 KB

11-sinf Astronomiya Nazorat ishi testi.
5 000.00
.docx
2
19.8 KB

SINF RAHBARI DAFTARI 5-11 SINF
9 000.00
.docx
49
776.9 KB

11-sinf Kimyo imtihon javoblari 2026
10 000.00
58
1.33 MB

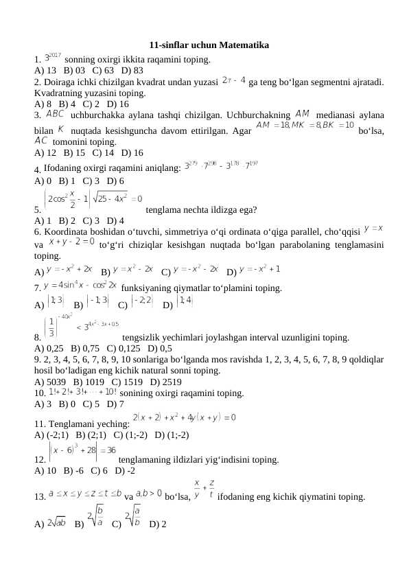
Matematika 11-sinf test
5 000.00
.docx
4
85.7 KB

11-sinf Jahon tarixi fanidan darslik
12 000.00
.pptx
15
2.29 MB

Tabiiy fanlar 6-sinf chsb
2 000.00
2
195.5 KB

Biologiya 6-11-sinf dars Reja
15 000.00
.docx
40
65.0 KB

11- sinf ona tili darsligi
6 000.00
111
3.26 MB

6-sinf matematika fanidan 100 ta variantli test savollari va javoblari
6 000.00
.docx
25
20.7 KB

6- sinf ona tili darsligi yangi
6 900.00
208
1.29 MB

11-sinf Zahiriddin Muhammad Bobur G'azallari
5 500.00
.ppt
15
8.32 MB

11-sinf Fizika imtihon savollari, 2024
5 000.00
26
1.17 MB

11-sinf Mustaqillik davri she'riyatidan namunalar
5 500.00
.ppt
16
7.56 MB

11-sinf Informatika Photoshopda qatlamlar
5 500.00
.pptx
15
3.81 MB

11-sinf Oʻzbekiston Tarixi imtihon javoblari 2026
12 000.00
112
7.75 MB

11-sinf O'zbekiston va jahon tarixi test javoblari bilan
2 000.00
.docx
4
61.8 KB

6-sinf sinf soati ish reja va konspekti 2025-2026 y
7 000.00
.doc
46
7.48 MB

11-sinf Jahon tarixi fanidagi darslik
4 000.00
.pptx
15
2.29 MB

11-sinf tarbiyaviy soat dars ishlanma
5 500.00
55
2.53 MB

11-SINF KIMYO OLIMPIYADA MASALALARI YECHILISHI
5 000.00
.docx
10
39.8 KB

6 sinf to'g'arak hujatlari
5 000.00
.doc
50
4.49 MB
